纺织配色软件中用于色差判定的方法有哪几种?
传统的纺织配色作业主要有人工经验配色完成,这种配色方法的配色结果无法复制,且效率低。因此,为了适应纺织现代化生产的需求,人们将配色软件引入到纺织行业。本文对纺织配色软件的作用及软件中色差的判定方法做了介绍。

纺织配色软件的作用:
在纺织电脑配色系统中,配色软件是核心部件。它根据分光测色仪提供的颜色数据以及用户输入的目标颜色要求,运用复杂的算法和数据库,计算出所需的各种颜料或染料的配方。同时,配色软件还具备颜色模拟功能,可在电脑上模拟不同配方混合后的颜色效果,方便用户直观地看到颜色变化,并根据实际需求对配方进行调整,直到达到满意的颜色效果。
纺织配色软件可根据织物材质、染料类型及目标色值,快速建立色彩数据库并自动计算最优染料配方,精准预测不同面料、批次与光源下的色差,减少打样次数与原料损耗;能实时模拟染色效果、修正配色偏差,统一生产配色标准,大幅提升配色效率与颜色准确率,降低打样成本,为纺织印染的颜色管控、工艺优化与批量生产提供高效可靠的数字化支持。
纺织配色软件中用于色差判定的方法:
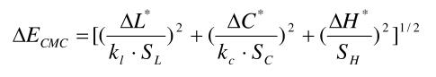
1.使用最佳化的色差公式。配色软件都具有色差计算功能,可以计算基于某个色差公式的色差值,通过比较色差值与限定值的大小来判定颜色的可接受(合格)与否。目前在纺织工业计算机测配色软件中最广泛采用的是CIEL*a*b*颜色空间和CMC(1:c)色差式,CMC(1:c)色差式如下所示:

公式中加权系数用于修正人眼对颜色三个属性的敏感程度。对于可觉察性色差取1=c=1;对于可接受性色差取1=2,c=1。
2.利用服装及纺织业上的容差值数据表来判断色样的合格与否,将颜色空间中不同区域的颜色坐标及其对应的容差值列表使用。但列出的数据是不连续的,只有生产样与表中所列颜色坐标接近时才有参考意义,因此在实际应用中有一定的局限性。
3.通过标准灰卡及对应CIEL*a*b*色差值来判定样品的可接受与否,但这种方法没有考虑色相、彩度不同时色差限不同的情况。
4.通过容差椭圆图形化的方法来判定。人眼对颜色三个属性敏感程度的差别用CMC(1:c)中的SH,SL,SC来加权修正。由SH,SL,SC为半轴定义的椭球是颜色的容差范围,如下图所示:

图中0代表标样的坐标,即椭球的球心。在颜色空间的不同区域,依据具体的颜色值实时地计算色差公式中的加权系数,进而计算色差,可以实现与目视评定色差最接近的结果。容差椭球的体积是由SL、SC和SH三个容差半轴围成的立方体的52%,因此大约有一半的颜色色差虽然小于容差限但仍不可接受。如某一个颜色总色差小于1.0,但落在容差椭球之外仍认为该色样不可接受1.。在程序中实现色差范围的图形化显示,可以直观地评判颜色样品的可接受与否。

